想知道一项投资标的到底能不能投资,光看价格是远远不够,一名专业的交易员还必须学会观察「成交量」,透过分析该商品的成交量,我们便能看出整体市场动能的强弱。
如果成交量高,也代表该标的受到市场关注度高、流动性优异,如果是在价格底部爆出巨额成交量,那么短线上更容易出现上涨的空间。
成交量(Trading volume) 是一项能够被量化的计算指标,在金融市场中,成交量是指某一特定资产在一段时间内交易的数量。
成交量是市场活动和流动性的关键指标,因此该项指标通常会与价格资讯并列显示。
如下图所示,下图K 线为欧元兑美元(EUR/USD) 日线走势图,绿色长条图则为单日成交量。

EUR/USD 日线走势图资料来源:OANDA
一份交易的达成,需要买方、卖方共同促成,故每一次成交都是单一的交易,成交量就是以此形成。
举例来说,市场上有卖家下单要出售欧元兑美元100手合约,另一方也有买家下单买欧元兑美元100手合约,那么这笔交易就会由交易所撮合成交。
简单来说,就是卖家和买家对当前的商品价格达到共识,且愿意下单的数量相同,价格也相同,故双方的期望达成一致时,价格就会敲定,这时买卖成立的合约数量,就是成交量。
在技术分析中,成交量(Volume)与之间的关系被视为判断市场趋势强弱的重要依据。
透过观察「量价关系」,投资人可以更准确地判断行情是否具有延续性或可能反转。
以下是常见的量价配对解读方式:
解读重点:
价格需靠成交量支撑才能走得远:若价格大涨但量能无法配合,容易形成「无量上涨」,后续拉回风险较高。价跌放量需谨慎:代表市场信心不足,卖压可能来自法人或主力出货,短期不宜进场。横盘放量是警讯也是机会:若长时间震荡后突然放量,往往是行情即将选择方向的讯号。成交量是指某一特定资产在一段时间内交易的数量,故当整体市场交易活动趋于热络,那么成交量势必增加。
而成交量增加也代表「市场动能」强劲,有买家愿意承接卖家的抛售力量,故常在短线上酝酿反弹机会。
如下图所示,下图K 线为欧元兑美元(EUR/USD) 日线走势图,绿色长条图则为单日成交量,而往往成交量爆量都会出现在价格重挫后的某一交易日。
在成交量爆量后,短线上也常常伴随而来反弹契机,只是反弹幅度的程度不一。

EUR/USD 日线走势图资料来源:OANDA
成交量的投资概念,适用于股票、债券、期权、期货、商品以及外汇交易,故投资任何商品的投资人,都需要学习观察成交量的变化,以适当调整投资策略。
成交量是专业交易者在做市场分析时的热门工具,因为成交量在研究资产价格历史时,可以提供额外的参考,最重要的,就是利用成交量来发现行情的转折点。
要注意的是,外汇与差价合约CFD的交易由于不透过交易所,由业者与投资家直接进行交易的形态,与股市等透过证券交易所的方式不同,因此,其成交量不代表市场整体,只能当作参考值。
成交量是技术分析中极具参考价值的指标之一,但在实际操作中,若未能正确解读或考虑相关背景因素,容易导致误判。
以下是使用成交量时应特别注意的几点事项:
虽然「量增则价升」是市场普遍的看法,但成交量放大本身并不绝对代表行情健康上涨。
尤其在股价处于高位时,若出现爆量却涨幅有限,甚至收黑K线,可能代表市场出现大量获利了结或主力在拉高出货,这种状况称为「放量滞涨」。
此外,在利多消息发布后的放量,也可能反映短线投机客进出,并不具备长期趋势延续性,操作上应特别小心,切勿盲目追高。
成交量异常放大时,不能只从技术面角度判断。
须结合当下是否有重大新闻事件,例如:
财报公布(尤其盈余不如预期)除权除息日法人法说会或产业展望说明公司内部人或大股东交易市场谣言或并购消息流出这些因素可能导致投资人短期恐慌或亢奋进出,造成成交量短暂异常。
此时不宜仅以技术型态判断,应加入基本面与市场情绪分析。
成交量的意义会随着市场环境而改变:
在多头市场中,放量上涨是健康的现象,代表买盘追价意愿高,行情可望延续。但在空头市场中,放量上涨可能只是反弹逃命波,短期涨幅之后往往出现快速回落,需特别留意是否只是空头反弹的假象。此外,行情末升段时若出现「天量天价」,更可能是市场过热、主力拉高诱多的讯号。因此,使用成交量判断前,应先评估当前属于哪一种趋势阶段,再决定交易策略。
现今市场中,越来越多程式交易者、高频交易(HFT)参与市场,有时会制造大量挂单与取消,造成「刷量」或「假量」的现象。
这种成交量不一定反映真实的买卖需求,而是程式快速试探市场深度或诱导对手盘。
此外,部分主力或控盘者也可能透过小笔大单反覆成交制造「爆量」假象,吸引散户跟单。
因此对成交量的变化应保有警觉,并观察是否与价格形成合理的共振,必要时辅以分价表、挂单动态、盘中拉抬行为作综合判断。
在小型股、低市值或成交稀疏的个股中,成交量容易受到单一大户或特定券商的交易主导。
这些股票的量价关系常出现低量急拉、高量急杀、无预警爆量等现象,使得一般投资人难以掌握真实趋势。
建议在分析成交量时,应优先选择具有良好流动性、法人参与度高的中大型个股,避免因资讯不对称而被诱多或诱空。
单一的成交量数据容易产生误导,特别是忽略价格表现与技术结构。
正确的做法应是「量价结合判断」,例如:
突破颈线是否伴随放量长红均线黄金交叉是否搭配成交量持续上升压力区遭遇放量失守是否出现止跌讯号亦可搭配如、、、VWAP 等技术指标,综合确认趋势方向与转折时机。透过多重指标交叉印证,可以提高分析的准确率与操作胜率。
全球知名外汇经纪商OANDA 未平仓量数据,可以统计并揭露OANDA旗下全球客户的外汇差价合约(CFD) 的未平仓量(Open Position) 分布。
未平仓量代表的即是成交后的持仓量,这一数据可以用来观察OANDA客户的多空看法以及仓位布局。
借此评估市场的多空状况,以及自己下单的价位,是否与其他OANDA交易者的想法一致。
【OANDA未平仓数据图表】

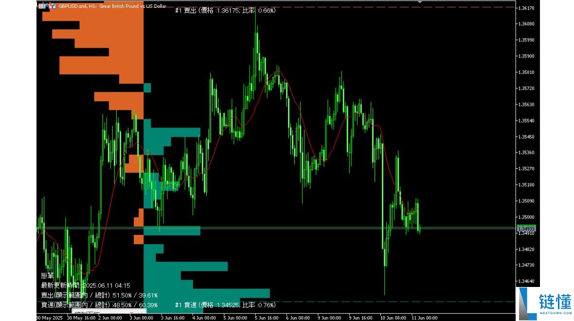
并且,还可以直接将该图表安装在MT5平台上,在查看图表的同时下单交易。
【MT5 英镑/美元1小时图表】

以下图OANDA全球客户的黄金未平仓量(Open Position) 数据为例,绿色线一样为当前的价格水平(市价)。
而右侧则为多单未平仓量(Long),左侧则为空单未平仓量(Short),Y 轴即为价格、X 轴则显示在那些价位上,多、空双方共有多少未平仓量。

资料来源:OANDA未平仓数据图表
按照多、空双方的未平仓量看,也可以划分作为四大象限,亦有不一样的交易原理与应用:

资料来源:OANDA未平仓数据图表
第一象限代表的是买在高点的持仓部位。
在交易的应用上,由于这些部位的买进价格是高于市价,故帐面上已出现亏损,若市价持续走低,那么即可能引发停损卖压;
反之,若市价出现反弹,那么也会随着反弹的幅度而陆续释放套牢卖压。
故买在高点的仓位柱状体越多,即表示后续的卖压强劲,将不利价格走高。
第二象限代表的是放空获利的持仓部位。
在交易的应用上,由于这些部位的放空价格是高于市价,故帐面上已出现获利,若市价持续走低,那么空单大多愿意续抱,成为下跌段的支撑力量;
反之,若市价出现反弹,那么即可能引动空单的获利了结买盘,而反弹幅度越大,引发的空单获利了结买盘即会越强。
第三象限代表的是放空亏损的持仓部位。
在交易的应用上,由于这些部位的放空价格是低于市价,故帐面上已出现亏损,若市价反转走低,那么空单有可能开始释放套牢卖压;
反之,若市价持续走高,那么空单即可能因为损失扩大而引发停损卖压。
故放空亏损的仓位柱状体越多,即代表空头被挤压的力量将越强劲,有利价格走高。
第四象限代表的是买在低点的持仓部位。
在交易的应用上,由于这些部位的买进价格是低于市价,故帐面上已出现获利,若市价反转走低,那么即可能引动多单的获利了结卖盘,这时候相当容易形成多杀多的格局;
反之,若市价持续走高,那么多单大多愿意续抱,成为上涨段的支撑力量。
成交量(Trading volume) 是一项能够被量化的计算指标,在金融市场中,成交量是指某一特定资产在一段时间内交易的数量,成交量是市场活动和流动性的关键指标,因此该项指标通常会与价格资讯并列显示。
成交量是指某一特定资产在一段时间内交易的数量,故当整体市场交易活动趋于热络,那么成交量势必增加,而成交量增加也代表「市场动能」强劲,有买家愿意承接卖家的抛售力量,故常在短线上酝酿反弹机会。
成交量是加密货币交易中一个非常重要的指标,对于判断价格走势和投资决策都有非常重要的作用。如果想成为一名合格的投资者,成交量这个指标一定要关注。
到此这篇关于什么是加密货币成交量?对于交易有什么用处?的文章就介绍到这了,更多相关成交量全面指南内容请搜索链懂以前的文章或继续浏览下面的相关文章,希望大家以后多多支持链懂!